14

A folded dipole is like an ordinary dipole, but with the ends extended and folded back, until they meet. Although it looks like a loop, I'm told it behaves similarly to a dipole.

folded dipole

How does this thing work? If I could see the voltages and currents in the antenna, what would they look like? Why are the currents and voltages like that?

Kevin Reid AG6YO
  • 24,195
  • 7
  • 48
  • 101
Phil Frost - W8II
  • 51,321
  • 5
  • 84
  • 209
  • Maybe rephrase it to be more specific, the title is good, but the question in the body seems to be "why is it called a dipole at all". What actual information did you want to find out? – David VK2VXK Dec 10 '13 at 19:26
  • 1
    This grew out of a discussing Phil and & I had in the comments of my answer to his previous [question](http://ham.stackexchange.com/questions/830/why-do-folded-dipoles-have-greater-bandwidth-than-ordinary-resonant-dipoles). I guess the real question might be what mechanism makes a folded dipole work better than a regular dipole. – WPrecht Dec 12 '13 at 23:36
  • Make sense now. The question just seemed a bit broad initially. – David VK2VXK Dec 13 '13 at 22:32

5 Answers5

5

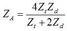
As explained by antenna-theory.com:

Figure 1

Typically, the width d of the folded dipole antenna is much smaller than the length L.

Because the folded dipole forms a closed loop, one might expect the input impedance to depend on the input impedance of a short-circuited transmission line of length L. However, you can imagine the folded dipole antenna as two parallel short-circuited transmission lines of length L/2 (separated at the midpoint by the feed in Figure 1). It turns out the impedance of the folded dipole antenna will be a function of the impedance of a transmission line of length L/2.

Also, because the folded dipole is "folded" back on itself, the currents can reinforce each other instead of cancelling each other out, so the input impedance will also depend on the impedance of a dipole antenna of length L.

Letting Zd represent the impedance of a dipole antenna of length L and Zt represent the impedance of a transmission line impedance of length L/2, which is given by:

enter image description here

The input impedance ZA of the folded dipole is given by:

enter image description here Folded Dipole Impedance

The folded dipole antenna is resonant and radiates well at odd integer multiples of a half-wavelength (0.5 wavelength, 1.5 wavelength ...), when the antenna is fed in the center as shown in Figure 1.

The folded dipole antenna can be made resonant at even multiples of a half-wavelength ( 1.0 wavelength, 2.0 wavelength...) by offsetting the feed of the folded dipole in Figure 1 (closer to the top or bottom edge of the folded dipole).

Phil Frost - W8II
  • 51,321
  • 5
  • 84
  • 209
KD5QLN
  • 400
  • 1
  • 6
  • 5
    I'd accept this if it wasn't just a copy-paste of the first Google result for the question. I wouldn't have asked the question if I thought that was a sufficient answer. – Phil Frost - W8II Feb 09 '15 at 20:49
4

Close coupling between the folded dipole's two long, parallel wires induces a nearly identical current in the "coupled" wire as is impressed on the "driven" wire. (Electromagnetics engineers will see this result as necessary because the boundary conditions on the ends of the two wires are the same.) Thus, half of the current from the power delivered to the antenna flows in the driven wire, half flows in the coupled wire. And, while the pattern remains the same regardless of whether the ends of the two wires are connected, the impedance is strongly affected because the phases of the voltages at the wire ends change. (Different boundary conditions at the ends, since they're not connected.)

Since the power delivered to the antenna is known, and power = current x voltage, then the voltage at the feedpoint must double to compensate for the current being cut in half.

With resistance equal to the ratio of voltage to current, doubling the voltage and halving the current at the feedpoint increases the feedpoint impedance by a factor of four over a single-wire dipole.

Brian K1LI
  • 7,808
  • 10
  • 33
  • I’m sure it’s correct, but I’m confused by this. First it says the boundary conditions at the ends are the same, then it says the boundary conditions are not the same. The it also says that the ends are not connected, but they look connected to me. Maybe I misunderstand what the “ends” here are? Can you elaborate your answer a little? – anyfoo Jul 16 '22 at 07:59
4

I had the same question for a while, more in reference to resonant loop antennas, but the same principle seems to apply to folded dipoles. Eventually I figured out what I think is going on, and the key is the length of the antenna vs. the wavelength of the signal.

A folded dipole or resonant loop antenna is, electrically, a full wavelength from one side of the feed point to the other. If the loop were straightened out, you'd see a standing wave with voltage nodes at each end and the middle, and current nodes at 1/4 and 3/4 of the length. If you then fold it back up, you can see that the electrical middle of the element is exactly across from the feed point; this means that the voltage in the middle of the antenna is neutral, while each end of the loop sees the peaks and troughs of the voltage wave. In contrast, the current peaks at the voltage nodes, in the middle of the antenna, and the current nodes are at the ends. It's probably pretty reasonable to imagine it as though the electrons are sloshing back and forth across the loop, being pushed by the feed point. This is the same type of resonance seen by a half-wave dipole antenna, but there's twice as much "stuff" resonating.

KE8FVR
  • 41
  • 1
  • Hello, and welcome to ham.stackexchange.com! Please consider taking [the tour](http://ham.stackexchange.com/tour) to get the most from the site. 73! – rclocher3 Feb 18 '17 at 17:21
1

“ If you want an electric dipole antenna (because that is the desired radiation pattern) folded or straight dipoles should be equivalent if they use the same number of wires with the same spacing. It is probably best to use a straight dipole (maybe with many parallel wires for bandwidth) because the lower feed impedance makes it easier to eliminate common mode interference on the cable with balun or common mode choke.”

Per the above; although correct based on a free space dipole impedance of 73 ohms, I would suggest that very few practical dipoles are close to this based on the typical proximity to ground and the slanting, inverting or angle of placement; especially on 160m and 80m. If the dipole is less than 1/8WL high, in an inverted v configuration or angled, it can be significantly less than even 50 ohms. Sometimes as low as 12 ohms. In those cases the impedance transformation of a folded dipole can in fact aid in getting a good match.

user17069
  • 11
  • 1
  • 1
    Hello and welcome to ham.stackexchange.com! Please [edit](https://ham.stackexchange.com/posts/16681/edit) your post to show the source of your quote. By the way, your post, although relevant and interesting, doesn't really answer the question, so it would probably have been better off as a comment. Anyway we're glad that you're here, and if you stick around and contribute you'll soon have enough reputation to comment everywhere. – rclocher3 May 13 '20 at 15:47
0

This statement "I guess the real question might be what mechanism makes a folded dipole work better than a regular dipole." is misleading as I see it. A folded dipole has a 4 times higher impedance, compared to a simple dipole with the same wire diameter it has more bandwidth, but compared to a simple dipole with the much larger effective diameter you would get by use of two parallel wires on each side of an ordinary dipole I suspect there would be no bandwidth advantage. Compare a,b and c here: https://www.google.com/search?q=multi-wire+dipole&client=firefox-b&tbm=isch&source=iu&ictx=1&fir=mKRhPlFY3mh3qM%253A%252CVjVXClZ9wzOVcM%252C_&usg=AFrqEzceJB6YnKbgc3ke89eLH9UlnKIr-Q&sa=X&ved=2ahUKEwjIvIfYwv_cAhXk-ioKHd7jBMEQ9QEwAHoECAUQBA#imgrc=VS3uPj4nnt8a6M:

B is a folded dipole. The open halfwave element does not contribute. A and C are equivalent as I can understand, but the feed impedance is different (by a factor of 9 I would guess.

Making the wire diameter different for the two half wavelength parts of a folded dipole makes the impedance transformation different. As I understand it, the impedance is given by the current ratio of the elements to which power is fed at the center and the elements that are shorted (fed by the voltage on the tips of the fed elements.) The bandwidth, as I understand it is given by the effective area of all wires.

The folded dipole is also a loop antenna, but in normal configurations the electric dipole radiation is orders of magnitude larger than the magnetic dipole radiation. The electric dipole radiation pattern has a zero in the plane of the dipole while the magnetic dipole pattern (a doughnut) does radiate in the plane of the (folded) dipole. In case you make your "folded dipole" a circle to give it the maximum possible magnetic moment, you would find that the radiation pattern is more like a magnetic dipole than an electric dipole.

If you want an electric dipole antenna (because that is the desired radiation pattern) folded or straight dipoles should be equivalent if they use the same number of wires with the same spacing. It is probably best to use a straight dipole (maybe with many parallel wires for bandwidth) because the lower feed impedance makes it easier to eliminate common mode interference on the cable with balun or common mode choke.

sm5bsz
  • 949
  • 4
  • 3